迷雾大陆S4魔王行宫天赋材料多久能刷满-S4赛季魔王行宫天赋材料毕业攻略
- 手游资讯
- 2025-02-13 11:40:45
迷雾大陆S4魔王行宫天赋材料多久能刷满?游戏迷雾大陆在S4赛季下中开启了全新的魔王行宫副本,在最新的行宫中我们能稳定的获得天赋的升级材料。许多小伙伴想知道多久可以升满角色的天赋,那么接下来就和小编一起看看《迷雾大陆》S4赛季魔王行宫天赋材料毕业攻略吧。

《迷雾大陆》S4赛季魔王行宫天赋材料毕业攻略
一、行宫毕业材料与所需时间
毕业一个10级天赋:期望需要46.18组材料
1组材料 = 4种行宫材料各5个(即一次天赋升级所需材料)
时间成本:平均需要6.2小时行宫副本
金币成本:约需1847万金币
每日刷副本建议:
如果每天刷2小时行宫副本,加上商店和每日任务奖励的4.5组材料,14天左右即可升满6个天赋。
二、行宫副本材料掉落数量
行宫副本的材料收益与层数挂钩,层数越高,材料碎片掉落越多。以下为掉落收益总结:
副本层数 掉落材料碎片
6-9层 约60个碎片
10-14层 约100个碎片
15-20层 约150个碎片
材料合成规则:
每60个碎片可以合成1个完整材料,4种不同的完整材料作为1组,可升级1级天赋。
刷图建议:
低练度玩家:优先快速刷低层副本(6-9层),积累基础材料。
高练度玩家:尽量选择15层以上且怪物密度高的副本,收益最大化。
四、材料获取新途径-商店和任务
为降低材料获取难度,S4赛季增加了两个额外材料获取渠道:商店与每日任务。
商店材料奖励
购买典藏卡后,商店可以额外获得240个炽源材料箱。
每日任务奖励
完成每日任务可以获得300个炽源材料箱。
材料箱收益
每个炽源材料箱随机开出10个材料碎片,合计每天可额外获得4.5组完整材料。
温馨提示:别忘了每日完成任务领取材料奖励!将商店材料与副本收益结合起来,可以显着缩短天赋毕业时间。
五、天赋升级材料保底机制详解
本赛季新增的天赋升级保底机制是最大的改动亮点,避免了上赛季“升级50次都不成功”的绝望。
天赋升级成功率与保底规则
天赋等级 成功率 保底次数
2级 100% 无保底
3级 80% 无保底
4级 60% 无保底
5级 40% 10次保底
6级 30% 10次保底
7级 20% 20次保底
8级 15% 20次保底
9级 10% 30次保底
10级 5% 30次保底
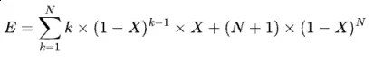
保底期望次数计算公式
假设成功概率为X,保底次数为N。由于保底机制,期望不再是简单的1/X。以下为考虑保底情况下的数学期望公式。
这个公式直接体现了成功期望次数的完整计算逻辑,即由两部分组成:
表示在前N次升级过程中,不同次数成功情况按照各自概率加权平均对期望的贡献。
表示在升级进行到第N次都还未成功时,按照保底规则第N+1次必定成功。
有了保底机制后,升级期望次数的计算公式更复杂。以“9级升10级”为例:
无保底期望次数:1/5% = 20次
保底机制后期望次数:16次
随着保底机制的加入,高等级天赋的升级难度大大降低。例如,9升10的期望次数从20次下降到了16次,再也不用担心漫长的失败循环。
六、天赋升级总材料需求
假设你要将一个天赋升满到10级,以下是材料与时间成本的计算结果:
毕业1个天赋(10级)
需要46.18组材料
约6.2小时副本,1847万金币
毕业6个天赋(10级)
每天刷2小时副本,外加商店和每日任务奖励,预计14天左右可完成。













